「小身材大能耐」岛津DUH应对材料表面力学性能测试的多种解决方案


可对应特殊材料

测试模式多样

压痕清晰
普通的显微维氏硬度计的压痕直径大约20~50μm,而DUH的压痕可以保持在1~5μm,通过500倍目镜可以很清楚地被观察到。

测定金属表面压痕硬度
金属材料力学测试被广泛应用于质量控制和研发方面,随着金属材料研究的微观化,传统宏观整体力学试验技术如拉伸、压缩、扭转等测试方法已不能完全满足金属材料力学测试的需求。

该案例介绍的是利用岛津DUH-211S超显微动态硬度计依照《GB/T 21838.1-2019 金属材料 硬度和材料参数的仪器化压入试验 第1部分:试验方法》(《ISO14577-1:2015》)的要求,对金属材料表面进行动态压入加载-卸载测试,获取压痕硬度数据。

表1.金属表面压痕硬度测试结果


该案例的试样为φ25mm高6mm圆柱形金属块,表面光滑,为了测定其表面压痕硬度,遵循《GB/T 21838.1-2019 金属材料 硬度和材料参数的仪器化压入试验 第1部分:试验方法》(《ISO14577-1:2015》)的要求设定DUH软件为加载-卸载模式,在金属表面完成5个清晰的压痕,DUH-service软件测得压痕硬度平均值为4435.3N/mm²,压入功平均值为18.116%,回弹率为16.423%,可以看到均质的金属表面的5个压痕硬度值偏差都较小。
测定金属表面镀层的压痕硬度

镀层具有非常薄的厚度,为了不破坏镀层整体,硬度测试需要采用非破坏性的方法,以保持其完整性。压头的压入深度通常在纳米至微米的范围内,这使得传统的硬度测试方法不精确,难以准确测量这样薄的镀层。DUH-211S超显微动态硬度计可以在预设位移深度的方法压入材料表面微小的厚度,通过预设深度加载-卸载测试方法,就能获得准确的镀层材料的表面硬度与弹性模量数据。这种方法对金属表面各种镀层的动态力学测试也有很大借鉴作用。
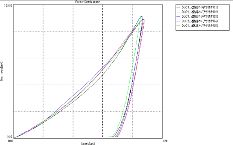
该案例的试样为约12μm厚的一层DLC镀层,DUH的压痕深度必须小于试样层厚的1/10,因此,设定DUH1.0mN/sec的加载速度将三棱锥压头压入样品表层,压入深度1μm,并保持时间20秒,随后卸载到设定的最小载荷1.96mN ,将样品原位移动到物镜下方,可观察到清晰的压痕。压痕硬度通过使用该仪器进行一次加载-卸载过程的结果计算出来,再通过DUH-service软件先读取表面压痕的三角形三个方向顶部到底部的高度,记录读取的数据,仪器会给出金属表面DLC镀层的压入深度和压痕硬度数据。

表2.金属表面DLC镀层压痕硬度测试结果


在金属DLC镀层表面完成5个清晰的压痕,压痕硬度平均值为5575.8N/mm²,压入功平均值为19.784%,回弹率平均值为21.214%,可以看到5个值偏差较小偏差稳定符合现实情况。
测定薄膜的弹性模量
测定薄膜材料的弹性模量有很大的现实意义和市场需求。弹性模量是衡量材料在受到外力作用时的抵抗形变的能力,对于薄膜材料来说,弹性模量越高,薄膜在受到外力时更不容易发生形变;通过测试弹性模量,可以预测薄膜在长期使用过程中的耐久性和可靠性。
该案例介绍的是使用岛津DUH动态超显微硬度计通过加载-卸载模式测得压痕弹性模量并评估其力学性能,可以应用提供直观的测试数据和曲线,这对防水胶膜的生产工艺改进、质量控制完善,产品性能提升都能提供有益的支持。也为此类微小、厚度很薄的试样弹性模量测试的需求,提供了一种简便、直观、可行的测试方式。
测试的试样是一种电子电气制造中用到的防水胶膜,厚度为0.135mm。随机选择5片防水胶膜样品,在它们靠近中间位置上随机选3个点进行测试,该防水胶膜的泊松比为0.52,DUH需要预先输入该参数以获取此材料的弹性模量数据。根据样品的厚度,我们设定加载深度在4μm以内,因样品表面为柔性材料,设定最大载荷为1.96MN,并在该试验力下保持20S;加载保持时间完成后,卸载试验力至0.1mN,并在该试验力下保持20s,测试过程试验速度为0.15mN/S。测试完成后DUH service软件会给出测得的Eit弹性模量值。

表3. 防水胶膜弹性模量试验结果


从表3可以看出,在随机选出的5个防水胶膜样品上,每个样品又在靠近中间随机选择了3个位置进行动态硬度测试,测得的Eit弹性模量,每组弹性模量的平均值基本稳定,分布在2.05E+02到2.34E+02之间。从上图显示的5组防水胶样品表面的载荷-深度曲线上,我们也可以看出它们的曲线形态大体相同。
撰稿人:王正宇
本文内容非商业广告,仅供专业人士参考。
如需深入了解更多细节,欢迎联系津博士
sshqll@shimadzu.com.cn



