生物质液体燃料研究测试解决方案(下)-典型应用

生物质能源(Biomass energy),是指直接或间接通过植物的光合作用,将太阳能以化学能的形式贮存在生物质体内的一种能量形式,能够作为能源而被利用的生物质能则统称为生物质能源。其具有可再生性、碳中性、能源多样化、废物管理、经济与就业促进、能源安全等多方面优势。生物质能源在可持续发展和能源转型中具有重要潜力,是目前一个重要的科研热点。
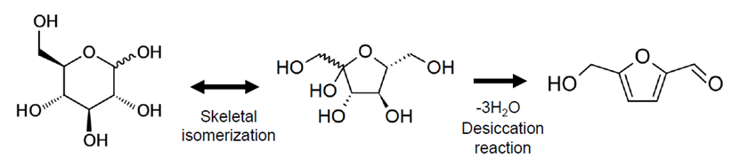
生物质液体燃料研究中,岛津气相色谱质谱仪、有机酸分析系统、高效液相色谱仪、TOC等色谱、光谱产品可对催化/发酵产物、产品杂质等提供相关检测方案。


本文内容非商业广告,仅供专业人士参考。
列表显示类型:
大图
列表图片:

账号内置顶:
否
分类:
所属产品应用领域分类:
推荐到首页:
否
产品详情显示位置:
应用领域




















